The books 5 Practices for Orchestrating Productive Mathematics Discussions (Smith and Stein, 2011) and Intentional Talk (Kazemi and Hintz, 2014) have helped me transform how I facilitate discussions. I try my best to integrate these practices across all sorts of lessons — problem-based lessons, small group time, etc. I think these strategies — for planning and instruction — are essential elements of facilitating 3 Act Tasks, as well. They’re at the heart of landing the third act. I kept this in mind as I went to plan for the first 3 Act Task of the year in third grade.
For Context:
Third grade is wrapping up their review of addition and subtraction. I had already gone into the classroom to model a choral count, as well as using a “low floor/high ceiling” open middle task to engage learners (“all”/as many as possible!) in a conversation about place value. To close out the unit, I went back to room 3L to conduct the first three act task of the year: Graham Fletcher’s “The Whopper Jar.”
https://player.vimeo.com/video/153940580
from Graham Fletcher/@gfletchy
___
To learn more about 3 Act Tasks in the elementary classroom, check out:
- Primer from Tedd.org (Teacher Education by Design/University of Washington)
- Dan Meyer blog post
- Graham Fletcher’s site
- “Trying Three-Act Tasks with Primary Students,” from October 2017’s Teaching Children Mathematics, by Kendra Lomax, Kristin Alfonzo, Sarah Dietz, Ellen Kleyman, and Elham Kazemi (article available for free to all NCTM members)
- …as well as a host of other resources! When you emerge from the blackhole, maybe you’ll read the rest of this. Mostly, I write this for myself, anyway: document & reflect.
___
I rewatched the video, and used the 5 Practices for Orchestrating Discussion framework to plan the lesson. (I’ve written about this here and here.) This blog post will detail the “long and winding road” through the five practices, to the classroom discussion format that I changed on the spot to draw on the expertise from Intentional Talk, by Elham Kazemi and Allison Hintz (Stenhouse Publishers, 2014).
- Anticipating student strategies
- Monitoring student work and thinking
- Selecting students to share
- Sequencing student work to highlight specific ideas and concepts
- Connecting the carefully sequenced work to illuminate the big picture
Anticipating
In Acts 1 & 2, students discover that the jar is filled using 5 bags of Whoppers: 4 of which were used in their entirety, and a fifth one that was only used in part. There are 19 whoppers per bag. The fifth bag had 16 whoppers leftover after being used.
I anticipated that a number of addition strategies would emerge from this problem, e.g.
- Breaking the 19s apart by place value, e.g. into 10 + 9
- Compensation strategies, e.g. adding 20s and then taking away 1 for each group of 20
- Adding using the traditional algorithm, in columns
- Using another representation to add
- Cross-Number Puzzles (from ThinkMath, see example here)
- Open Number Lines
- Finding the total of 4 groups of 19, and then adding 3 for the last bag
- Finding the total of 5 groups of 19, and then taking away 16 (the remainders from the last bag)
Knowing this class, I anticipated that several students would also try to use multiplication. They might:
- multiply 19 x 4 or 5 using the traditional algorithm
- multiply 19 x 4 or 5 using partial products or another algorithm
- multiply 20 x 4 or 5 and compensate by subtracting away either 4 (for 4 bags) or 5 (for 5 bags)
- …and again needing to account for that last bag, adding 3 or subtracting 1
I decided that I wanted to focus on addition strategies, and that I was particularly interested in students who were using strategies based in place value as well as compensation.
Monitoring
The classroom teacher and I observed a wide variety of strategies as we circulated. They included:

Bella’s Work
Bella created her own version of cross number puzzles based on place value. She first combined two of the 19s together, each broken down into 10 + 9. She then added the ones (9 + 9 = 18) and the 10s (10 + 10 = 20), and then wrote over the 20 with the total for 20 + 18, or 38 — a little unorthodox, but she did this consistently.
She then combined 38 and 38. “38 is two 19s, so I need to do 38 + 38 to get four 19s.” She used the same strategy to arrive at the total of 76. She did not do anything with the information about the 5th bag.
Maria Luisa’s Work
Maria Luisa broke the 19s down into a 10 and a 9 more pictorially. She added up all of the 10s (“all the one’s eqel 40”) and then made the leftovers from all of the 9s into groups of 10. From the bottom up, you can see a 9 combined with a 1 from the next row up, followed by the 8 remaining ones combined with 2 from the next row up, etc. She then arrived at 76 in the jar. Maria Luisa then overheard Erik talking about the leftovers from the fifth bag, and decided to add 3 to her total quickly towards the end of the work time.
Ari’s Work
Ari is already comfortable with the traditional algorithm for multiplication. He takes afternoon math classes at a local “math school,” where he is learning 4th and 5th grade content as a 3rd grader.
He multiplied 19 x 5, and then subtracted the 16 leftover whoppers from the fifth bag to arrive at 79 whoppers in the jar.
During Act 1, we had talked about “brave” estimates. “Would 1 million be a ‘brave too high’ estimate?” I had posed to the class. “No,” Jacob said. “But I wonder how many jars it would take to get to a million.”
I added Jacob’s question to our “wonder” part of our notice/wonder T-chart, and encouraged students to explore that if they had time and the curiosity. Ari had arrived at his “79” quickly, and so he chose to engage with that. He wanted to do 1,000,000 ÷ 79, but couldn’t think of a strategy for it. He consulted with several of his friends in the class, who worked together on a white board. They didn’t get particularly far, but they enjoyed the collaboration.
Selecting & Sequencing
Ultimately, I chose to use none of these work samples in our class discussion. Each had their merits, but I really wanted to focus on place value and compensation strategies. I chose the following four students: Isaak, Amir, Alessia, and Jacob.
During work time, I asked each student if he or she would be willing to share, and discussed the feature of their work we wanted to spotlight.
Connecting
At the beginning of the discussion, I posed the following questions: “how did ___ deal with all the 19s? How did (s)he deal with the partially used bag?”
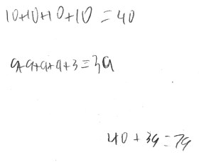
We started the discussion with Isaak’s place value work. He showed how he broke down 19 into 10s and 9s, and then, using the whiteboard, also showed us how he quickly calculated 9 + 9 + 9 + 9 + 3.
“Well, I knew that I could split the 3 into three 1s. Then I could put those ones on the 9s to make 10s. 10s are the best. So now it’s 9 + 10 + 10 + 10.” He then combined the 40 + 39 to make 79.
We briefly talked about our connecting questions, and then moved on. Everyone seemed to murmur in agreement that they understood Isaak’s strategy. Ari and his friend Jackson looked like they were about to doze off. I could see it in their eyes: “this is easy.”
Then we moved onto Amir’s work, and I realized instantly that the compensation strategies were much meatier for this class. A number of students had experimented with them, in a few different ways. This meant I would be changing course mid-discussion — to focus on how different students dealt with that partially used fifth bag of whoppers. Did they count it as a whole bag of 19 and subtract the unused 16? Or did they instead calculate the total of 4 bags and then add in the (19-16) whoppers used (+3)?
I immediately switched my plan from having this be a linearly sequenced share to a discussion format from Elham Kazemi and Allison Hintz’s Intentional Talk (Stenhouse 2014): Compare and Connect (chapter 3). We would explore this through the lens of two kids — Alessia and Amir — that used compensation strategies (rounding 19 to 20 and then subtracting). It helps that, upon rereading the chapter, Elham and Allison offer a vignette of a classroom teacher that transitioned from an open share to a more targeted strategy share. At least I was moving from a targeted strategy share to a more targeted strategy share…
Changing Course: Compare & Connect

In a “Compare and Connect” discussion, we zero in on two student work samples, and look to notice similarities and differences. If I had anticipated that compensation would be at the heart of the mathematics that interested these particular third graders, I might have used something like the planning template from the book.
I realized mid-discussion that I actually wanted to focus on how different students dealt with that partially used fifth bag of whoppers. Did they count it as a whole bag of 19 and subtract the unused 16? Or did they instead calculate the total of 4 bags and then add in the (19-16) whoppers used (+3)? We would explore this through the lens of two kids — Alessia and Amir — that used compensation strategies (rounding 19 to 20 and then subtracting).
Alessia’s work is on the left; Amir’s is on the right
Alessia spoke first to describe her strategy, explaining how she arrived at the 95 by pointing to each of the boxes of 19/20 and taking one away. Amir spoke next, describing a little bit about how he knew to take away 4. Some students looked a little lost, so we launched into our conversation from there: how did Alessia deal with the bags of 19? How did Amir? What’s similar? What’s different?
Students noticed that Alessia drew bars to help her think about how much she was dealing with, and how much to take away. Students noted that Amir only used numbers.
After solidifying those connections and comparisons, we were able to talk about the last operation: why did Alessia subtract? Why did Amir add? Instead of having Alessia and Amir answer the questions, I called on other students.
We were able to use the same focus questions that I had designed for the sequenced share to zero in on these two work samples.
Because I had already asked Jacob to share his multiplicative work, and because he also used a compensation strategy (20•4)-4 instead of (19•4), we quickly displayed his work at the end.

“In third grade, you’re going to be thinking more and more about equal size groups. Where do we have equal size groups in our Whopper Jar problem?”
“The bags are all equal,” Ari offered. “Except the fifth one.”
“So Jacob used multiplication to show these equal bags,” I continued. Jacob then jumped in to try to describe his process, which seemed to resonate with some of the students in class, but others were already fatigued — or just not ready — to have that conversation.
“Does Jacob’s work remind you more of Alessia’s or Amir’s?” I asked.
We took a quick vote, and one student explained why.
…at which point we were hitting the upper bounds of focus for most students, and we closed the discussion. We didn’t get a chance to talk about other times you might use this, but, really, that wasn’t the focus I had determined. We did accomplish my goal of focusing on how to deal with the equal groups and the leftovers, and I felt like the targeted “Connect and Compare” format emphasized those points better than an open share or even my initially planned sequenced share could…
“I thought you said there was a video answer,” Quincy said. I had completely forgotten.
Usually when I share a video solution with a group after a 3-Act, there are some vocal cheers and celebrations. With this quick video, there was very little fanfare. I overheard a few girls talking about it as they lined up for recess.
“Well, I mean, we already knew that it was 79. It just made sense. So whatever.” Bella is an 8-year-old teenager.
Maybe next time we’ll try a 3 Act Task for which the model doesn’t perfectly align with the answer…
Discover more from Jenna Laib
Subscribe to get the latest posts sent to your email.









1 Comment