#TeamBlankSpace

Every time a child says, ‘I don’t believe in fairies,’ there is a fairy somewhere that falls down dead.

J. M. Barrie, Peter Pan (1904)

When a work page is overly rigid and scaffolded — preventing students from showing their actual thinking — my heart breaks. To me, it’s essentially like saying “I don’t believe in letting students think,” or “I don’t believe in letting students figure out how to represent their ideas.” (And every time an educator says that, there is a beautiful thought somewhere that falls down dead.)

I was first introduced to #TeamBlankSpace — the concept, if not the hash tag — by the inimitable Marilyn Burns (@mburnsmath). I read a number of books, including those from the Teachingย Arithmetic series, in my preservice and early teaching career. The student work samples she included looked glorious: the undulating student penmanship, the delicious sketches of mathematical representations, the authentically imprecise language! I paged through the books like they were collectors editions of student ideas, as if they were made beautiful just for my consumption — limited edition, leather bound. For some reason, my 21 year old brain couldn’t fathom that “regular” students could have done all of this work. “Sure, maybe students that have someone like Marilyn Burns teaching them all the time might be able to do this,” I thought. “Or maybe students that don’t have learning disabilities like mine. My students need some scaffolding.”

I cringe just typing that now. It’s painful. I am sorry, students I taught 13 years ago!

Students need space. They need space physically, temporally, and mentally. They need space to be able to focus. They need space to be able to think. In order to learn how to communicate clearly, they need space to be able to wrestle with representing their thinking. They need know that it’s okay to put “rough draft thinking” (@MandyMathEd) on the page.

I’m not anti-structure or even anti-worksheet. I’m anti-confusing & rigid worksheet that punishes students for making connections or deepening their thoughts about the topic. See: this page.

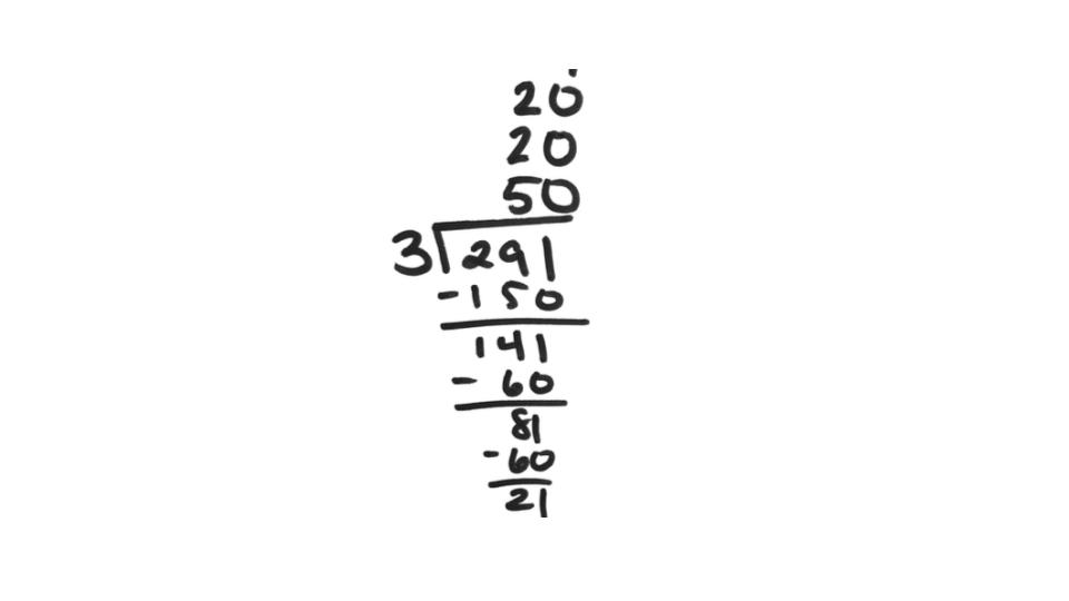
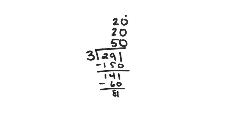
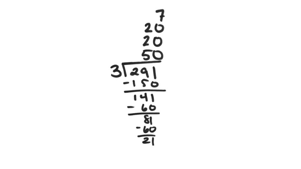
This fourth grader solved 291 รท 3 using the partial quotients division algorithm. I love partial quotients, but this formatting is fodder for my nightmares. Please note the four different color-coded outlines for boxes: green, black, dotted, and blue. It’s needlessly confusing, and it limits students to two different partial quotients.

Presumably, this is what the curriculum authors were looking for:

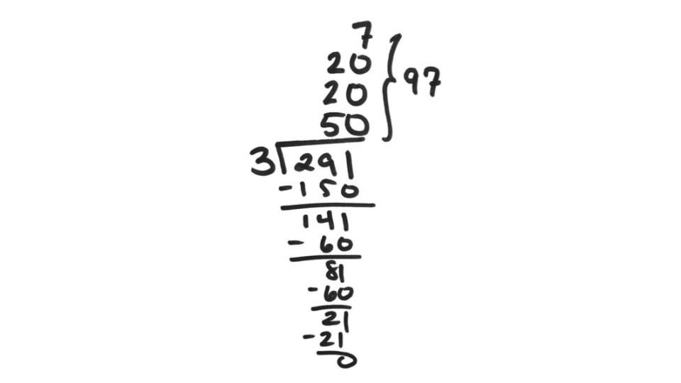
…although I think these representations, showing the same thinking, clarify some of the ideas.

I can appreciate that the worksheet is pushing students towards efficiency (e.g. finding the largest multiple of 10 that will go into the number, then the largest single digit number). However, one of the beautiful things about the partial quotients algorithm is is forgiving. If a student is not fluent with their multiplication facts, or makes a mistake (e.g. thinking that 3 x 80 is as close as he can get to 291), it’s possible to continue without starting over or making revisions.

This does not even address the restrictive directions at the top: only use two digit multiples of 10 (10, 20, 30, etc.) or single digit numbers. Meanwhile, the fourth grade student managed to come up with another appropriate way.

Here, the fourth grade student decided to use factors that felt “friendly” to her.

She knew that 3×100 would be too large, so she tried 3×75. That left her with 22 groups of 3, making for 97 groups in all.

These restrictions are probably benign for most students, but this student asked me, concerned, if she had to redo it because she “didn’t follow the rules.”

Another student in the class decided to use compensation instead of the partial quotients algorithm. To solve the first problem, 432 รท 9, he started with 9 x 50.

OLIVER: 9 x 50 is too big. 450. So... 9x40. That's 441? 
Because it's... oh, no, wait it's supposed to be 10 groups of 9.
So... ugh, that's too much subtraction.
What if I just take away one group... 441... then... oh, it's two groups. So it's 48. 432 รท 9 = 48.

Oliver then wrote it into the work book page. “I guess I should just write a lot of zeroes for all the boxes I don’t need?” He looked at me with eyebrows raised.

“Does that show what you did?” I asked.

“No,” he shrugged. “I guess not.”

“Let’s try to show what you did in your journal.”

So we pulled out his math journal — lined pages, blank pages, grid pages galore!

This only reaffirmed for me why I am #TeamBlankSpace. It gives ideas space to breathe, and grow, and develop, and change. It gives students space to experiment. Sometimes this means using an entirely blank page, or a white board, and sometimes this is just giving lots of blank space after a question on a work sheet. Either way, crunched space typically results in small thinking from my students. If I want them to learn how to communicate, they need the space to do it.

If you really believe your students are mathematicians — and you should! — give them the space to show it.


Discover more from Jenna Laib

Subscribe to get the latest posts sent to your email.

6 Comments

  1. Lovely post!

    Reminds me: whenever I really want to know how kids are thinking about something I try to stick to one problem per page. I don’t always feel that I can do this (especially when the purpose isn’t purely that I am curious about their thinking, but it’s also evaluation) but when I can I feel like it’s not just about giving kids the room they need. It’s also about ME and my ability to sift through th page easily and see the math. When there is a lot of structure on a worksheet that’s also a distraction to me when I’m looking through work and trying to figure out what’s happening.

    I like structure in a worksheet when the structure is a puzzle for students. Beast Academy has a series of lovely multiplication algorithm puzzles with a lot of empty boxes, once you know the basics well enough to access the puzzle, do some good work for getting used to the standard procedure.

    Like

    1. So, apparently I sent my reply via the wordpress site in the wrong browser, and it disappeared into an oblivion. UGH.

      Anyway, I think your point about how valuable blank space is for teachers is salient! Even with the division example from the post… when I showed it to the classroom teacher without any context or explanation, it was clear that her eyes did not know what to focus on, despite the fact that the student had only written in a few numbers. I think blank space has the potential to improve clarity.

      During the IM middle school pilot, I heard people at Illustrative Mathematics talking about the deliberate use of blank space throughout problem sets. Unfortunately, I think the final published version on the OUR is more compact. I mean, I can appreciate that it’s more environmentally friendly…? But it’s a loss.

      I agree that puzzles are different! (I love puzzles!) There are plenty of reasons to give students a page that has structure or is filled. “It allows them to avoid thinking about the idea that just so happens to be the mathematical heart of the lesson” isn’t one of them. (I phrased this 500 times better on the deleted comment — I swear!)

      Liked by 1 person

Leave a comment