“She’s not on an IEP, but she’s struggling in class. What should I do?”
I don’t know the student — Alejandra, or Ali, for short — very well, so I arranged to meet with her to conduct a clinical interview. Foolishly, I looked up her state test score from last spring. Seeing the low score made me cringe. The number wasn’t helpful; it only gave me some unproductive preconceived notions about Ali. I’ve been trying to promote the idea of using a “strengths-based lens” to look at student work and thinking. It’s not about “filling in gaps,” but building new understandings off the student’s current understandings. It’s about honoring the student as a mathematical thinker — as competent.
Ali’s fourth grade class was just starting a unit on multiplication and division. I decided to interview her about multiplication and division strategies. Again, the focus was on her current strategies — what does she know? What ideas can we leverage throughout the unit?
I started with the following task: “I have four cups. There are three cubes in each cup. How many cubes do I have in all?”
Ali blinked at me. She looked at the floor, and nervously rolled her pencil back and forth between her fingers. Without knowing anything about her mathematical thinking, I could tell that Ali did not view herself as someone with worthwhile mathematical ideas.
“Close your eyes,” I whispered. “Picture the four cups. I’m dropping cubes into them in groups… 3 at a time. Drop, drop, drop.”
Ali picked up her pencil. She drew this:

I watched her count by 1s — a start.
Next, I flipped the scenario to be about division. “I have 20 cubes. I want to put them in different cups so that there are exactly 5 cubes in each cup. How many cups do I need?”
Without hesitating, she answered: “4. It’s 5, 10, 15, 20… that’s four cups.”
I was surprised that she felt so comfortable with skip counting to solve this quotative division situation (dividing into equal groups). I had expected she would do more direct modeling, like the first problem. Instead, it seemed like she was getting warmed up for more abstract strategies.
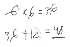
Next: “6 x 8.”
I expected Ali would use skip counting, like she had for the previous problem. I would never have predicted what she actually did.

“I know 6×6. And 6 is two away from 8, and I need 2 more… that’s 6 + 6 is 12… it’s 48.”
In just three problems, Ali had jumped from directly modeling a situation with a drawing to using a derived fact.
The interview continued, but with larger numbers.
“A carton contains 12 eggs. Emilia has 5 cartons. How many eggs does Emilia have altogether?

This was the start of a string of problems that Ali approached with repeated addition. It worked for her. She usually wrote the repeated addition as a long, horizontal equation, and then grouped addends two at a time, like you see above. She did this over and over again.
On the continuum of understanding about multiplication, her strategy for 6×8 felt much more sophisticated than her strategy for problems like the egg problem (essentially 12×5) above. In fact, as the numbers increased in size, I watched Ali revert back to direct modeling, sometimes in combination with some derived facts.
“Stefanie has 84 cookies. She wants to share them equally among her 4 friends. How many cookies does each friend get?

First, Ali drew four stick figures. She erased them.
Next, she drew the four circles to represent the four friends. She distributed tally marks until she got up to 11 and started to fatigue. 11 + 11 + 11 + 11 = 44.
“So everyone gets 44 cookies,” I restated, attempting to keep a neutral tone.
“Oh, that doesn’t make any sense. Wait…” Ali furrowed her brow in thought. She continued to draw tally marks, distributing one at a time to each circle, until she reached 17.
17 + 17 + 17 + 17
She started to combine the first two 17s, by adding the 10s and then the 1s. Nice use of partial sums. She got 34, and combined those two groups of 34 to make 68.
Ali wrote “68 + = 84.” I watched her keep track with her fingers, seemingly counting up, in order to fill in “68 + 16 = 84.”
“So what does that mean for the total number each friend gets?” I asked her.
“17 + 4 more from the 16.” Ali left her answer at that. She had relied on me to redirect her back to the task, but not to do any of the mathematical thinking for her. All of that beautiful sharing of hypothetical cookies? That was all Ali.
It’s easy for me to get lost in student’s thinking, the way many people get lost in a novel. I see how gorgeous it all is — how the students connect ideas, or missed connections that surprise me, or eccentricities in their communication, etc.
But what do we do with this?
I started making a document, generalizing about Ali’s strengths, with examples:
- For factors less than 10, Ali was able to derived products from facts that she knows.
- Ali uses a “grouping” model for multiplication, and this same representation (thought of as “sharing”) for division.
The grouping model has some real strengths, but falls apart when trying to understand components of fraction multiplication. I’m not worried about that right now; this assessment data is a window into student thinking at a specific date and time. Maybe she would answer the questions differently next week. The goal is for us to figure out ways to leverage these strengths — being able to adjust by one or two groups, and also distributing out over groups — in order to access the division unit.
I’m meeting with the teacher early next week. We will be looking for entry points for Ali to access the fourth grade curriculum. She fatigues quickly, and does not always assess whether her answers make sense independently. Moreover, the traditional division algorithm is probably too tedious for her, given that she is not fluent with multiplication within 100. (Nor do I think that’s best practice for fourth grade division…)
What are some instructional experiences that could help push Ali to use derived facts for factors above 10? How can number talks/problem strings help her develop greater fluency with multiplication and division within 100?
Takeaways
This weekend, I’ll have to prep for the conversation with the classroom teacher. It’s so important to her that she “does right by Ali!” She is concerned that she’s not receiving any additional support, and that she is a part of our racial achievement gap, as one of our few latinas. I’m concerned, too.
During the conversation, I want to emphasize the importance of connecting to her current thinking, and pushing her towards new directions. It’s not easy. These are not the sorts of instructional decisions to be found in a packaged lesson plan, no matter how wonderful the curriculum. This is the art of teaching.
…and the art of working with students should always be centered on building off their own brilliance.
____
The interview questions I used came from from Michael Battista’s Cognitively-Based Assessment and Teaching of Multiplication and Division: Building off Student’s Reasoning (Heinemann, 2012). There are other clinical interview protocols that I use, and sometimes I design my own question. This particular series of questions fit our goal of determining instructional points for an upcoming unit.
Discover more from Jenna Laib
Subscribe to get the latest posts sent to your email.

4 Comments